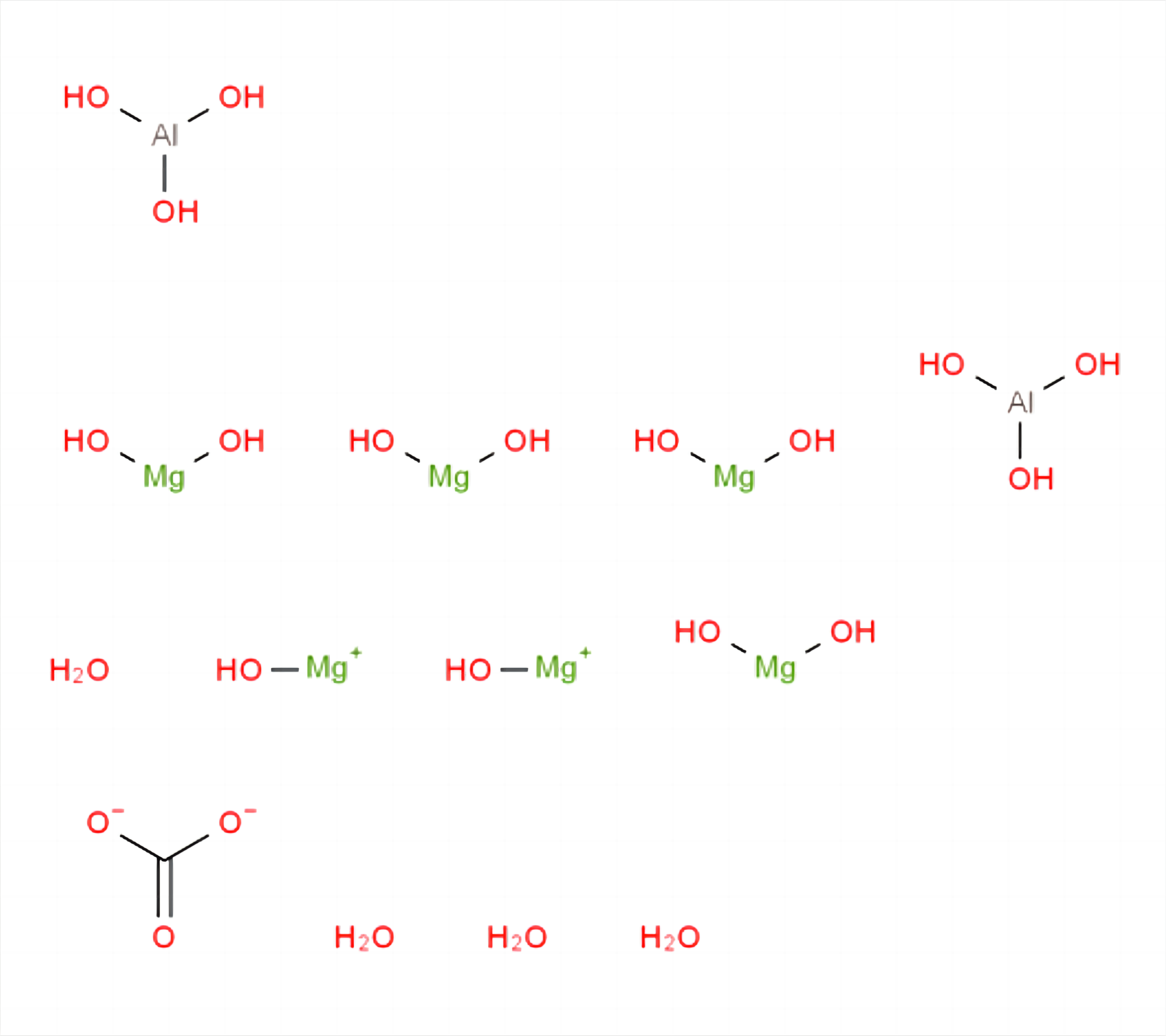
英文名:Hydrotalcite, synthetic                 化学式:Mg4Al2(OH)12CO3.4H2O
CAS号:12539-23-0                         纯度:99.9%                       规格:100g、200g
查看更多